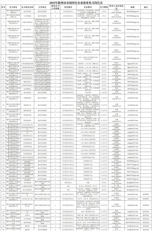
滁州市市属国有pg麻将胡了招聘见习生
为落实国家稳就业有关决策部署,滁州市市属国有pg麻将胡了提供了50个就业见习岗位,欢迎符合条件的高校毕业生报名应聘,具体岗位及条件详情见附件。

(1)2022年滁州市市属国有pg麻将胡了就业见习岗位表.xls
| beebcfcd78246c48a44b2ba263efa73e.xls(35.50 KB) |
滁州市市属国有pg麻将胡了招聘见习生
为落实国家稳就业有关决策部署,滁州市市属国有pg麻将胡了提供了50个就业见习岗位,欢迎符合条件的高校毕业生报名应聘,具体岗位及条件详情见附件。

(1)2022年滁州市市属国有pg麻将胡了就业见习岗位表.xls
| beebcfcd78246c48a44b2ba263efa73e.xls(35.50 KB) |